首页
职称评审
上海职称评审
江苏职称评审
浙江职称评审
广东职称评审
河南职称评审
无锡职称评审
微思介绍
发展历程
核心团队
企业文化
办公地点
公司新闻
评审资讯
职称问答
案例分享
投诉建议
退款流程
首页
>
评审资讯
>
上海
>
【职称公示】2025年度上海建工集团股份有限公司工程系列中级职称评审通过名单公示
【职称公示】2025年度上海建工集团股份有限公司工程系列中级职称评审通过名单公示
来源:
|
作者:
weisiconsultants
|
发布时间:
203天前
|
1004
次浏览
|
🔊
点击朗读正文
❚❚
▶
|
分享到:
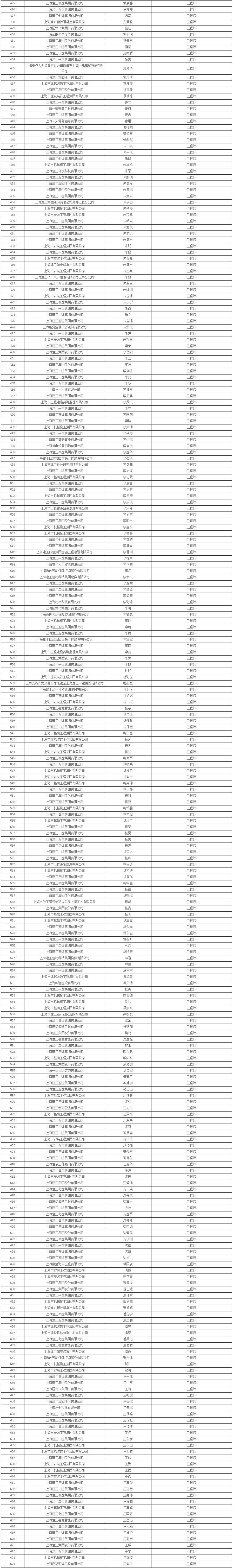
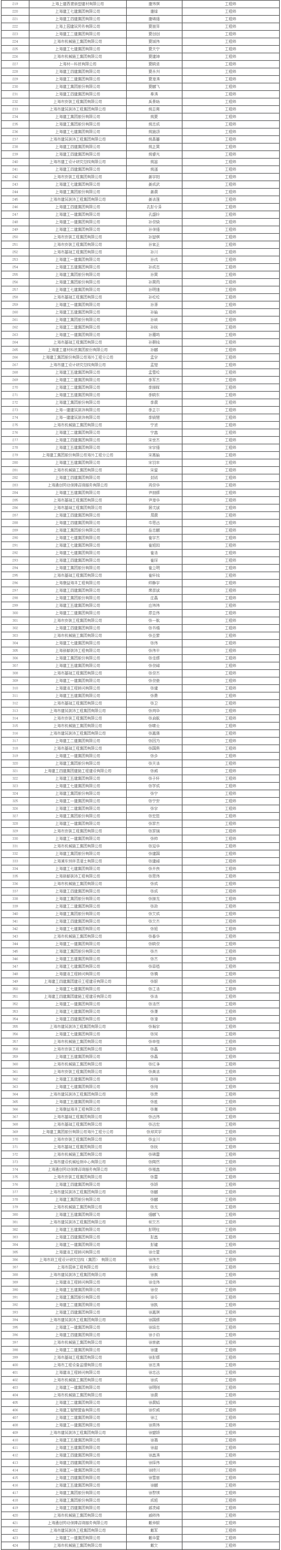
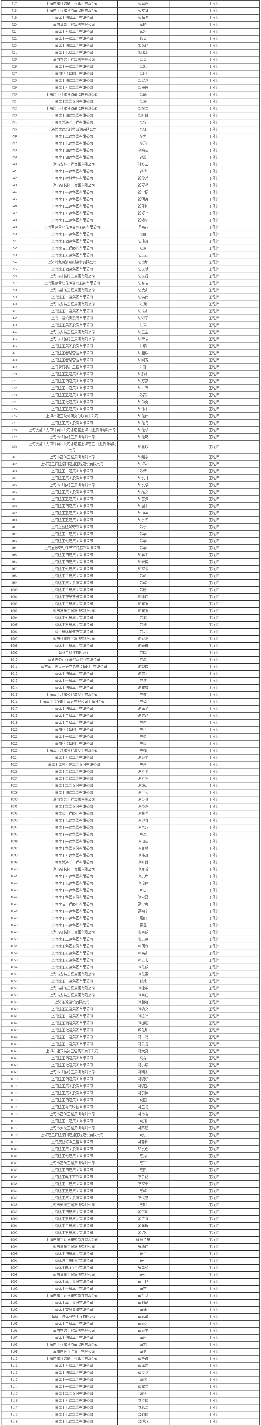
2025年度上海建工集团股份有限公司工程系列中级专业技术职务任职资格评审委员会评审通过人员名单公示
2025年度上海建工集团股份有限公司工程系列中级专业技术职务任职资格评审委员会评审通过人员名单公示
(来源:上海一网通办)
扫描下方二维码咨询我们或关注公众号「上海微思职称」,了解更多职称评审资讯。
上一篇:
【职称通知】河南人力......
下一篇:
江苏省工程师职称十三......